Respostas antioxidativas em nódulos de caupi inoculado com bradyrhizobium
DOI:
https://doi.org/10.20873/uft.2359-3652.2015v2nespp76Palabras clave:
Espécies reativas de oxigênio, nitrogênio, Vigna unguiculataResumen
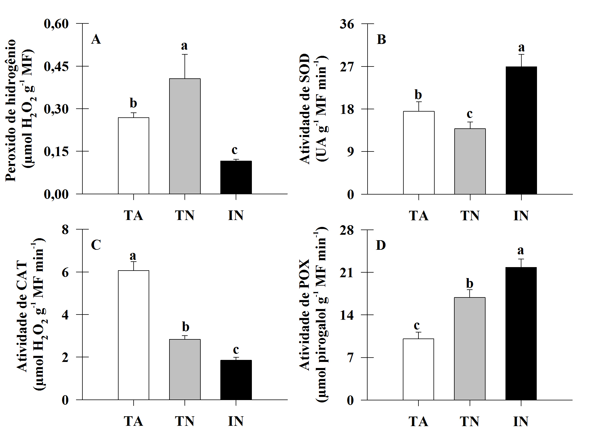
O nitrogênio é considerado elemento essencial para as plantas, pois está presente na composição das mais importantes biomoléculas. As plantas podem obter esse nitrogênio através do processo de fixação biológica pela simbiose entre a planta e as bactérias fixadoras de nitrogênio. A fixação biológica do nitrogênio pode ser afetada por fatores bióticos e abióticos que provocam estresse oxidativo na planta. O sistema antioxidativo enzimático envolve enzimas, como por exemplo dismutase de superóxido (SOD), catalase (CAT), peroxidase de fenóis (POX), que conferem proteção oxidativa às plantas. Desta forma, objetivo deste trabalho foi avaliar o metabolismo antioxidativo em nódulos de plantas de feijão-caupi inoculadas com Bradyrhizobium sp. (estirpe BR 3267). Os resultados mostraram que a inoculação com Bradyrhizobiumsp. foi efetiva e resultou em baixo acúmulo de amônia e diminuição do estresse oxidativo. Concluiu-se que a inoculação de caupi comBradyrhizobium sp. foi efetiva em estimular as enzimas envolvidas no processo oxidativo (SOD, POX e CAT). Estas enzimas foram eficientes na remoção das espécies reativas de oxigênio e promoveram proteção oxidativa para plantas de caupi.
Citas
AMAKO, K.; CHEN, G.X.; ASADA, K. 1994. Separate assays specific for ascorbate peroxidase and guaiacol peroxidase and for the chloroplastic and cytosolic isozymes of ascorbate peroxidase in plants. Plant Cell Physiology 35: 497-504.
ANDREWS, M.; LEA, P.; RAVEN, J.; AZEVEDO, R. 2009. Nitrogen use efficiency. 3. Nitrogen fixation: genes and costs. Annals of Applied Biology 155: 1-13.
ANTÓN, M.; FERNÁNDEZ-PASCUAL, M.; SÁNCHEZ, M.L.; FEDOROVA, E.; HERRERO, M.G.; SAMA, A.; PEREIRA, L.G.; CARRETERO, C.; HERAS, N.M.L.; GUANCHE, J.P.; DABAD, J.P.; RODRÍGUEZ, A.V. 2006. Factores estructurales, bioquímicos y moleculares de la simbiosis Bradyrhizobium sp. (Lupinus)-Lupinus. Anales de la Real Academia Nacional de Farmacia 72: 423-442.
ASADA, K. 2006. Production and scavenging of reactive oxygen species in chloroplasts and their functions. Plant Physiology 141: 391-396.
BEAUCHAMP, C.; FRIDOVICH, I. 1971. Superoxide dismutase: Improved assay applicable to acrylamide gels. Analytical Biochemistry 44: 2762-2787.
BECANA, M.; MATAMOROS, M.A.; UDVARDI, M.; DALTON, D.A. 2010. Recent insights into antioxidant defenses of legume root nodules. New Phytologist 188: 960-976.
BRENNAN, T.; FRENKEL, C. 1977. Involvement of hydrogen peroxide the regulation of senescence in pear. Plant Physiology 59: 411-416.
CARVALHO, F.E.; LOBO, A.K.; BONIFACIO, A.; MARTINS, M.O.; NETO, M.C.L.;SILVEIRA, J.A. 2011. Aclimatação ao estresse salino em plantas de arroz induzida pelo pré-tratamento com H2O2. Revista Brasileira de Engenharia Agrícola e Ambiental 15(4): 416-
CATTIVELLI, L.; RIZZA, F.; BADECK, F.W.; MAZZUCOTELLI, E.; MASTRANGELO,A.; FRANCIA, E.; MARÉ, C.; TONDELLI, A.; STANCA, A. 2008. Drought tolerance improvement in crop plants: An integrated view from breeding to genomics. Field Crops Research 105: 1-14.
CHANG, C.; DAMIANI, I.; PUPPO, A.; FRENDO, P. 2009. Redox Changes during the Legume-Rhizobium Symbiosis. Molecular Plant 2(3): 370-377.
DUBOIS, M.; GILLES, K.A.; HAMILTON, J.K.; REBERS P.A.; SMITH, F. 1956. Colorimetric method for determination of sugars and related substances. Analytical Chemical 28: 350-356.
FOYER, C.H.; BLOOM, A.J.; QUEVAL, G.; NOCTOR, G. 2009. Photorespiratory metabolism: genes, mutants, energetics, and redox signaling. Annual Review of Plant Physiology 60: 455-484.
GIANOPOLITIS, C.N.; RIES, S.K. 1977. Superoxide dismutases: I. Occurrence in Higher Plants. Plant Physiology 59: 309-314.
HAVIR, E.A.; MCHALE, N.A. 1987. Biochemical and Developmental Characterization of Multiple Forms of Catalase in Tobacco-Leaves. Plant Physiology 84(2): 450-455.
HOAGLAND, D.; ARNON, D.I. 1950. The water culture method for growing plants without soil. California: Agriculture Experimental Station Circular. 347 p.
LEA, P.J.; AZEVEDO, R.A. 2006. Nitrogen use efficiency. 1. Uptake of nitrogen from the soil. Annals of Applied Biology 149: 243-247.
MAHAJAN, S.; TUTEJA, N. 2005. Cold, salinity and drought stresses: An overview. Archives of Biochemistry and Biophysics 444(2); 139-158.
MILLER, G.; SUZUKI, N.; CIFTCI-YILMAZ, S.; MITTLER, R. 2010. Reactive oxygen species homeostasis and signaling during drought and salinity stresses. Plant, Cell and Environment 33: 453-467.
MITTLER, R. 2006. Abiotic stress, the field environment and stress combination. Trends in Plant Science 11(1): 15-19.
MØLLER, I.M.; JENSEN, P.E.; HANSSON, A. 2007. Oxidative modifications to cellular components in plants. Annual Review of Plant Biology 58: 459-481.
MUNNS, R.; TESTER, M. 2008. Mechanisms of Salinity Tolerance. Annual Review of Plant Biology 59: 651-681.
NGUYEN, G.N.; HAILSTONES, D.L.; WILKES, M.; SUTTON, B.G. 2009. Droughtinduced oxidative conditions in rice anthers leading to a programmed cell death and pollen abortion. Journal of Agronomy e Crop Science 195: 157-164.
RODRIGUES, A.C.; BONIFACIO, A.; ANTUNES, J.E.L.; SILVEIRA, J.A.G.; FIGUEIREDO, M.V. B. 2013. Minimization of oxidative stress in cowpea nodules by the interrelationship between Bradyrhizobium sp. and plant growth-promoting bacteria. Applied Soil Ecology 64: 245-251.
SILVEIRA, J.A.G.; CONTADO, J.; RODRIGUES, J.; OLIVEIRA, J. 1998. Phosphoenolpyruvate carboxylase and glutamine synthetase activities in relation to nitrogen fixation in cowpea nodules. Revista Brasileira de Fisiologia Vegetal 10: 19-23.
VANCE, C.P. 2008. Carbon and nitrogen metabolism in legume nodules. In: Nitrogen-Fixing Leguminous Symbioses (pp. 293-320). Springer Netherlands.
WEATHERBURN, M.W. 1967. Phenol-hypochlorite reaction for determination of ammonia.Analytical Chemistry 39: 971-974.
YEMM, E.W.; COCKING, E.F. 1955. The determination of amino acids with ninhydrin. Analyst 80: 209-213.
Archivos adicionales
Publicado
Cómo citar
Número
Sección
Licencia
Autores que publicam nesta revista concordam com os seguintes termos:
1. Autores mantém os direitos autorais e concedem à revista o direito de primeira publicação, com o trabalho simultaneamente licenciado sob a Creative Commons Attribution License (CC BY-NC 4.0), permitindo o compartilhamento do trabalho com reconhecimento da autoria do trabalho e publicação inicial nesta revista.
2. Autores têm autorização para assumir contratos adicionais separadamente, para distribuição não-exclusiva da versão do trabalho publicada nesta revista (ex.: publicar em repositório institucional ou como capítulo de livro), com reconhecimento de autoria e publicação inicial nesta revista.
3. Autores têm permissão e são estimulados a publicar e distribuir seu trabalho online (ex.: em repositórios institucionais ou na sua página pessoal) a qualquer ponto posterior ao processo editorial.
4. Além disso, o AUTOR é informado e consente com a revista que, portanto, seu artigo pode ser incorporado pela DESAFIOS em bases e sistemas de informação científica existentes (indexadores e bancos de dados atuais) ou a existir no futuro (indexadores e bancos de dados futuros), nas condições definidas por este último em todos os momentos, que envolverá, pelo menos, a possibilidade de que os titulares desses bancos de dados possam executar as seguintes ações sobre o artigo:
a. Reproduzir, transmitir e distribuir o artigo, no todo ou em parte sob qualquer forma ou meio de transmissão eletrônica existente ou desenvolvida no futuro, incluindo a transmissão eletrônica para fins de pesquisa, visualização e impressão;
b. Reproduzir e distribuir, no todo ou em parte, o artigo na impressão.
c. Capacidade de traduzir certas partes do artigo.
d. Extrair figuras, tabelas, ilustrações e outros objetos gráficos e capturar metadados, legendas e artigo relacionado para fins de pesquisa, visualização e impressão.
e. Transmissão, distribuição e reprodução por agentes ou autorizada pelos proprietários de distribuidoras de bases de dados.
f. A preparação de citações bibliográficas, sumários e índices e referências de captura relacionados de partes selecionadas do artigo.
g. Digitalizar e / ou armazenar imagens e texto de artigo eletrônico.
