Aplicação do cálculo tensorial em problemas fundamentais da gravitação
DOI:
https://doi.org/10.20873/uft.2359-3652.2015v2nespp124Palavras-chave:
Tensor de Einstein, Solução de Schwarzschild, Maple.Resumo
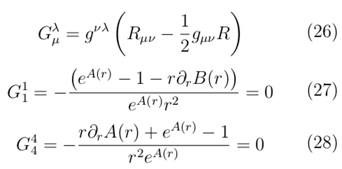
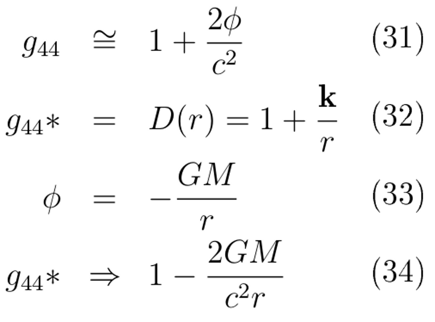
Por volta do século XIX vários cientistas compartilhavam a ideia de que a descrição do universo já estava concluída. Entretanto, a teoria da Gravitação de Einstein mostrou que as futuras verdades da Física vão além das casas decimais de verdades já estabelecidas. Num passado não muito distante a teoria de Einstein contrariava o nível imaginativo da maioria dos cientistas, entretanto, hoje está presente até na calibração dos Sistemas de Posicionamento Global (GPS). As ferramentas matemáticas que apoiaram os estudos de Einstein foram os tensores, esses objetos permitiram formular a relação entre geometria e matéria descrita pelo tensor de Einstein. Construindo os tensores que compõe o tensor de Einstein é possível obter a solução do buraco negro tipo Schwarzschild. Sendo assim, é válido o uso do software Maple e do pacote GRTensorII para comparar os resultados analítico e computacional.
Palavras-chave: Tensor de Einstein, Solução de Schwarzschild, Maple.
ABSTRACT
By the nineteenth century various scientists shared the view that the description of the universe was already completed. However, Einstein's Gravitation Theory showed that future truths of physics go beyond the decimal places of already established truths. In a not too distant past Einstein's theory contradicted the imaginative level of most scientists, however, is now present even in the calibration of Global Positioning Systems (GPS). The mathematical tools that supported Einstein’s study were tensors, these objects allowed to settle the relationship between geometry and matter described by Einstein's tensor. Building the tensors that composes Einstein's tensor is possible to obtain the solution for the black hole Schwarzschild type. Therefore, it is valid to use the software Maple and GRTensorII package to compare the analytical and computational results.
Keywords: Einstein's tensor, Schwarzschild's solution, Maple.
Referências
BRONSON, R; COSTA, G. 2008. Equações diferenciais. 3ª ed., Porto Alegre, Bookman, 400 p.
CATTANI, M. 1998. Dedução das Equações da Teoria de Gravitação de Einstein em um Curso de Graduação. Revista Brasileira de Ensino de Física, São Paulo, v.20, n.1, p.27-37, mar. 1998.
CHAVES, A. 2001. Física, v.3: ondas, relatividade e física quântica. Rio de Janeiro, Reichmann Affonso, 127 p.
D’INVERNO, R. 1999. Introducing Einstein’s relativity. United States Oxford University Press, New York, 383 p.
FLEISCH, D. 2012. A Students Guide to Vectors and Tensors. United States of America, Cambridge University Press, New York, 197 p.
HALLIDAY, D; RESNICK, R; WALKER, J. 2007. Fundamentos de Física, v.4: óptica e física moderna. 7ª ed., Rio de Janeiro, LTC, 406 p.
MORRIS, R. 2001. O que sabemos sobre o Universo: realidade e imaginação científica. Rio de Janeiro, Jorge Zahar, 222 p.
PIRES, A. 2011. Evolução das ideias da física. 2ª ed., São Paulo, Editora livraria da Física, 478 p.
SOARES, D. 2013. Os fundamentos físico-matemáticos da cosmologia relativística. Revista Brasileira de Ensino de Física, v.35, n.3, 3302, set.
TIPLER, P; LLEWWLLYN, R. 2006. Física moderna. 3ª ed., Rio de Janeiro, LTC, 515 p.
TIPLER, P; MOSCA. 2006. Física, v.3: física moderna: mecânica quântica, relatividade e a estrutura da matéria. 5ª ed., Rio de Janeiro, LTC, 285 p.
TREFIL, J; HAZEN, R. 2006. Física viva, v.3: uma introdução à física conceitual. Rio de Janeiro, LTC, 222 p.
MAPLESOFT. Disponível em: http://www.maplesoft.com/products/maple/. Acesso em: 10/08/2013.
GRTENSOR II. Disponível em: http://grtensor.phy.queensu.ca/. Acesso em: 10/08/2013.
Downloads
Arquivos adicionais
Publicado
Como Citar
Edição
Seção
Licença
Autores que publicam nesta revista concordam com os seguintes termos:
1. Autores mantém os direitos autorais e concedem à revista o direito de primeira publicação, com o trabalho simultaneamente licenciado sob a Creative Commons Attribution License (CC BY-NC 4.0), permitindo o compartilhamento do trabalho com reconhecimento da autoria do trabalho e publicação inicial nesta revista.
2. Autores têm autorização para assumir contratos adicionais separadamente, para distribuição não-exclusiva da versão do trabalho publicada nesta revista (ex.: publicar em repositório institucional ou como capítulo de livro), com reconhecimento de autoria e publicação inicial nesta revista.
3. Autores têm permissão e são estimulados a publicar e distribuir seu trabalho online (ex.: em repositórios institucionais ou na sua página pessoal) a qualquer ponto posterior ao processo editorial.
4. Além disso, o AUTOR é informado e consente com a revista que, portanto, seu artigo pode ser incorporado pela DESAFIOS em bases e sistemas de informação científica existentes (indexadores e bancos de dados atuais) ou a existir no futuro (indexadores e bancos de dados futuros), nas condições definidas por este último em todos os momentos, que envolverá, pelo menos, a possibilidade de que os titulares desses bancos de dados possam executar as seguintes ações sobre o artigo:
a. Reproduzir, transmitir e distribuir o artigo, no todo ou em parte sob qualquer forma ou meio de transmissão eletrônica existente ou desenvolvida no futuro, incluindo a transmissão eletrônica para fins de pesquisa, visualização e impressão;
b. Reproduzir e distribuir, no todo ou em parte, o artigo na impressão.
c. Capacidade de traduzir certas partes do artigo.
d. Extrair figuras, tabelas, ilustrações e outros objetos gráficos e capturar metadados, legendas e artigo relacionado para fins de pesquisa, visualização e impressão.
e. Transmissão, distribuição e reprodução por agentes ou autorizada pelos proprietários de distribuidoras de bases de dados.
f. A preparação de citações bibliográficas, sumários e índices e referências de captura relacionados de partes selecionadas do artigo.
g. Digitalizar e / ou armazenar imagens e texto de artigo eletrônico.
